Transmission sur fibre optique
Principe de la réfraction
Les bases
La réfraction est le phénomène de changement brusque de direction d'un rayon
lumineux lorsqu'il traverse la surface de séparation de deux milieux transparents.
En réalité, lorsqu'un rayon lumineux traverse la surface de séparation de deux milieux (de l'air vers le verre par exemple),
une partie du signal lumineux va se retrouver refracté, tandis qu'une autre sera réfléchie.
Voir l'explication du phénomène de réfraction
Indice de réfraction
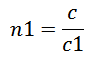
Avec le phénomène de réfraction, nous pouvons introduire la notion d'indice de réfraction.
L'indice de réfraction d'un milieu mesure la densité optique de celui-ci. Cela constitue donc une idée de la difficulté de la lumière à se propager dans ce milieu.
L'expression de l'indice de réfraction s'exprime comme le rapport des vitesses de propagation de la lumière dans l'air et dans le milieu concerné :

Avec :
c1 : vitesse de la lumière dans le milieu 1
Phénomène associé
Voici un schéma illustrant le principe de la réfraction :

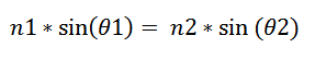
Ce principe a été démontré par Descartes, qui a établi la relation suivante :

A la suite de cette relation, on peut distinguer 3 principaux scénarios.
Les angles d'incidences et de réfractions évoluent en effet suivants les différents cas.
![]() |
![]() |
![]() |
- (a). Nous sommes ici en présence d'un angle d'incidence normal, et par conséquent d'un angle de réfraction associé
- (b). Ici, l'angle d'incidence est dit critique. L'angle de réfraction est maximal, c'est à dire de 90°
- (c). Nous sommes ici en présence d'un angle critique supérieur à l'angle critique, on a donc une réflection totale interne